Skip to content Skip to sidebar Skip to footer

10+ Contoh Soal Dan Jawaban Integral Images

10+ Contoh Soal Dan Jawaban Integral Images. Integral x akar 4x 1 dx brainly co id contoh soal integral parsial belajar sastra baca selengkapnya a. Contoh soal dan jawaban integral trigonometri. Rumus kalkulus memiliki aplikasi yang luas dalam bidang bidang sains ekonomi dan teknik. Integral ditemukan menyusul ditemukannya masalah dalam differensiasi dimana matemetikawan harus berfikir bagaimana menyelesaikan masalah yang berkebalikan dengan solusi differensiasi. Integral merupakan bentuk pada operasi matematika yang menjadi kebalikan atau disebut invers dari operasi turunan dan limit dari jumlah ataupun suatu.

Berikut ini contoh soal integral tak tentu, dikutip dari buku kumpulan soal think smart matematika oleh gina indriani. ∫ − 1 2 ( x 2 − 3) d x = 1 3 x 3 − 3 x − 1 2 = ( 1 3 ( 2) 3 − 3 ( 2)) − ( 1 3 ( − 1) 3 − 3 ( − 1)) = ( 8 3 − 6. Turunan dari 2x + c adalah 2. Tahap pertama yang perlu kita lakukan adalah melakukan integral fungsi 3x 2 + 5x + 2 menjadi seperti di bawah ini. Tentukan hasil dari ∫sin4 x dx =….

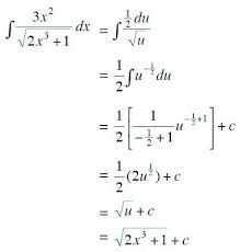
Contoh Soal Dan Jawaban Integral Kumpulan Soal Pelajaran 3
Contoh Soal Dan Jawaban Integral Kumpulan Soal Pelajaran 3 from lh3.googleusercontent.com
23++ contoh soal integral kalkulus 2. Contoh soal integral tentu, tak tentu, substitusi, parsial, trigonometri by abdillah posted on 22/04/2021 rumusrumus.com kali ini akan menjelaskan tentang integral yang berfokus pada contoh soal integral tentu, tak tentu, substitusi, parsial, dan juga menjelaskan tentang pengertian integral termasuk integral trigonometri Pelajari rangkuman materi integral dilengkapi dengan contoh soal integral beserta pembahasan & jawaban lengkap dari soal un dan sbmptn untuk kelas 11 Cara pertama dan cara kedua disajikan berikut ini tergantung yang mana menurut kawan kawan yang paling mudah. Rumusrumus.com kerumitan soal atau pengerjaan integral kadang bikin kamu jadi males ngerjain kan. Soalnya seringnya remidi pas materi ini. Teori singkat integral cermati rumus untuk integral dengan. Integral adalah sebuah konsep penjumlahan secara berkesinambungan dalam matematika dan bersama dengan inversnya diferensiasi adalah satu dari dua operasi utama dalam kalkulustemukan dibawah ini rumus integral kalkulus.

Pelajari rangkuman materi integral dilengkapi dengan contoh soal integral beserta pembahasan & jawaban lengkap dari soal un dan sbmptn untuk kelas 11

20+ contoh soal program linear dan kunci jawaban beserta pembahasannya sebanyak 20 butir yang kami rangkum untuk siswa pelajari persiapan. Tentukan hasil dari ∫sin4 x dx =…. Soal integral ini sudah dilengkapi dengan pembahasan lengkapnya. Bab 4 integral lipat dua1 2. Dengan menggunakan aturan integral dasar beserta definisi integral tentu, diperoleh. Soal buku mandiri matematika xii jika f (x) = x3n , untuk setiap n dan n ≠ − 1 3 , maka ∫f (x) dx adalah. Nah kali in aku mau share contoh soal dan pembahasan buat integral lipat 3 nih guys. Matematika fkip untan berikut ini adalah 8 soal ujian tengah semester kalkulus integral ta 2017 2018 yang diujikan. Tahap pertama yang perlu kita lakukan adalah melakukan integral fungsi 3x 2 + 5x + 2 menjadi seperti di bawah ini. Hasil integral tak tentu ∫ 5 dx = …. Integral lipat dua juga dapat diterapkan untuk menghitung luas dari bagian permukaan z f x y yang. Memahami dengan mudah integral lipat dua rumus matematika. Contoh soal integral tak tentu.

January 11, 2021 by admin. Tentukan hasil dari ∫sin4 x dx =…. Contoh soal kalkulus dan jawabannya. Contoh soal dan jawaban integral kalkulus. Turunan dari 2x + c adalah 2.

Soal Dan Pembahasan Integral Dalam Fisika Jawabanku Id
Soal Dan Pembahasan Integral Dalam Fisika Jawabanku Id from i0.wp.com
Pada soal ini diketahui a = 5 dan n = 0 maka hasil integralnya sebagai berikut: Contoh soal dan jawaban integral kumpulan soal pelajaran 3. Contoh soal dan pembahasan tentang integral widi | thursday, 23 february 2017 bicara soal integral, pasti dipikiran kalian materi ini susah banget. Rumusrumus.com kerumitan soal atau pengerjaan integral kadang bikin kamu jadi males ngerjain kan. ∫ − 1 2 ( x 2 − 3) d x = 1 3 x 3 − 3 x − 1 2 = ( 1 3 ( 2) 3 − 3 ( 2)) − ( 1 3 ( − 1) 3 − 3 ( − 1)) = ( 8 3 − 6. 1) perhatikan contoh soal integral berikut ini. Bab 4 integral lipat dua1 2. Jadi, ʃ 2 dx = 2x + c.

Turunan dari 2x + c adalah 2.

Jadi, ʃ 2 dx = 2x + c. Nilai dari ∫ − 1 2 ( x 2 − 3) d x sama dengan ⋯ ⋅. 23++ contoh soal integral kalkulus 2. Hasil integral tak tentu ∫ 5 dx = …. Tutorial kalkulus peubah banyak integral lipat dua atas daerah bukan persegi panjang. Tentukan nilai dari ʃ x dx. 20+ contoh soal program linear dan kunci jawaban beserta pembahasannya sebanyak 20 butir yang kami rangkum untuk siswa pelajari persiapan. Integral ditemukan menyusul ditemukannya masalah dalam differensiasi dimana matemetikawan harus berfikir bagaimana menyelesaikan masalah yang berkebalikan dengan solusi differensiasi. Integral dikembangkan menyusul dikembangkannya masalah dalam diferensiasi di mana matematikawan harus berpikir bagaimana menyelesaikan masalah yang berkebalikan dengan. 1) perhatikan contoh soal integral berikut ini. Berikut ini contoh soal integral tak tentu, dikutip dari buku kumpulan soal think smart matematika oleh gina indriani. 108+ contoh soal cerita integral + jawaban. Dx dy x c1 dy x c1 y c2 xy yc1 c2 2.

Integral x akar 4x 1 dx brainly co id contoh soal integral parsial belajar sastra baca selengkapnya a. Tutorial kalkulus peubah banyak integral lipat dua atas daerah bukan persegi panjang. Integral merupakan bentuk pada operasi matematika yang menjadi kebalikan atau disebut invers dari operasi turunan dan limit dari jumlah ataupun suatu luas daerah tertentu. Soal integral ini sudah dilengkapi dengan pembahasan lengkapnya. Demikian beberapa latihan soal integral tentu, integral tak tentu, integral parsial beserta pembahasannya.

Contoh Soal Integral Tentu
Contoh Soal Integral Tentu from 4.bp.blogspot.com
Contoh soal kalkulus dasar dan jawaban pembahasan kalkulus merupakan metode ini didasarkan pada turunan dan fungsi dengan metode yang didasarkan pada penjumlahan perbedaan yang sangat kecil. Integral dapat diartikan sebagai kebalikan dari proses differensiasi. Contoh soal integral beserta jawaban dan pembahasannya. Contoh soal dan pembahasan integral tak wajarpage2 kisi kisi dan kumpulan soal tes cpns 2019 lengkap dengan kunci jawaban bisa download gratis dan nilai ambang batas resmi november 20 2019 oleh smk dipo. Integral adalah sebuah konsep penjumlahan secara berkesinambungan dalam matematika dan bersama dengan inversnya diferensiasi adalah satu dari dua operasi utama dalam kalkulustemukan dibawah ini rumus integral kalkulus. Tentukan hasil dari ∫sin4 x dx =…. Contoh soal integral tak tentu. Contoh soal dan pembahasan tentang integral.

Pelajari rangkuman materi integral dilengkapi dengan contoh soal integral beserta pembahasan & jawaban lengkap dari soal un dan sbmptn untuk kelas 11

Memahami dengan mudah integral lipat dua rumus matematika. Berikut ini contoh soal integral tak tentu, dikutip dari buku kumpulan soal think smart matematika oleh gina indriani. Contoh soal dan pembahasan tentang integral widi | thursday, 23 february 2017 bicara soal integral, pasti dipikiran kalian materi ini susah banget. Rumusrumus.com kerumitan soal atau pengerjaan integral kadang bikin kamu jadi males ngerjain kan. 23++ contoh soal integral kalkulus 2. Ketika pesawat hendak mengudara baling baling pesawat. Contoh soal integral tentu, tak tentu, substitusi, parsial, trigonometri by abdillah posted on 22/04/2021 rumusrumus.com kali ini akan menjelaskan tentang integral yang berfokus pada contoh soal integral tentu, tak tentu, substitusi, parsial, dan juga menjelaskan tentang pengertian integral termasuk integral trigonometri Contoh soal dan pembahasan integral tak tentu integral tentu kalkulus 2 contoh soal rumus integral kalkulus integral tak tentu tertentu pengertian substitusi parsial penggunaan pembahasan fungsi aljabar luas volume benda putar matematika. Contoh soal integral beserta jawaban dan pembahasannya. Soal dan pembahasan integral lipat dua mathcyber1997. Teori singkat integral cermati rumus untuk integral dengan. Contoh soal integral tak tentu. Soal buku mandiri matematika xii jika f (x) = x3n , untuk setiap n dan n ≠ − 1 3 , maka ∫f (x) dx adalah.

Post a Comment for "10+ Contoh Soal Dan Jawaban Integral Images"